English
Section 144 has been imposed in the entire city of Delhi for the next 30 days ahead of the ‘Delhi Chalo’ March on February 13. Read further on Dynamite News:
New Delhi: Section 144 has been imposed in the entire city of Delhi for the next 30 days ahead of the 'Delhi Chalo' March on February 13, a top police official said.
The order was issued by the Delhi Police Commissioner, Sanjay Arora, on Monday.
The Police said that any person found to be violating the order would be arrested immediately.

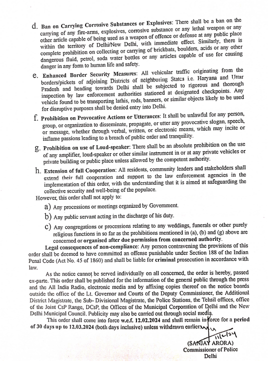
"There shall be an absolute prohibition on the organisation, convening, or participation in any processions, demonstrations, rallies, or march on foot, whether for political, social, or any other purpose, within the geographical limits of Delhi/New Delhi," the order stated.

Read This Also: Ahead of farmers' march on Feb 13, Section 144 enforced on Delhi-UP borders
"No tractor trolleys, trucks, or any other vehicles transporting individuals or materinis, and especially those carrying implements such as sticks/lathis/dandas, swords, spears, bludgeons, firearms, or any other thing capable of being used as weapons or tools of Ban on Carrying Corrosive Substances or Explosives: There shall be a ban on the carrying of any fire-arms, explosives, corrosive substance, or any lethal weapon or any other article capable of being used as a weapon of offence or defence at any public place within the territory of Delhi/New Delhi, with immediate effect," the order read.
"There shall be a prohibition on blocking of roads, passages, any type of procession agitation, rally, or public meeting by the agitators or general public or public representatives by way of assembly or gathering of five or more persons with or without weapons in the entire jurisdiction of Delhi, except for purposes specifically permitted under Inw," read the order.
Read This Also: Security tightened near Tikri border ahead of farmers' 'Delhi Chalo' march
Meanwhile, DCP (North East) Joy Tirkey told ANI on Monday that they are monitoring everything, including social media.
"We are monitoring everything, including social media and the inputs we are receiving. We have deployed advance porters deep inside Uttar Pradesh, Haryana, and Punjab. We are getting live information. We started our arrangements in the North East district on February 11..."
"According to the information, there will be a little pressure on the Singhu and Tikri borders... A detailed arrangement has been issued. Border checking will be multi-layer; we are using vehicles, JC barricades, and iron barricades...I have also issued a notice that Section 144 has been imposed. We will be prepared for tomorrow's 'Delhi Chalo' march..."
Meanwhile, in view of the proposed farmers protest at various borders of Delhi from 13.02.2024, traffic will be affected. For commercial vehicles, traffic estrictions and diversions have been imposed by Delhi Traffic Police.(ANI)